Упр.43 ГДЗ Мерзляк Полонский 7 класс (Алгебра)
Решение #1
Решение #2

Рассмотрим вариант решения задания из учебника Мерзляк, Полонская, Якир 7 класс, Вентана-Граф:
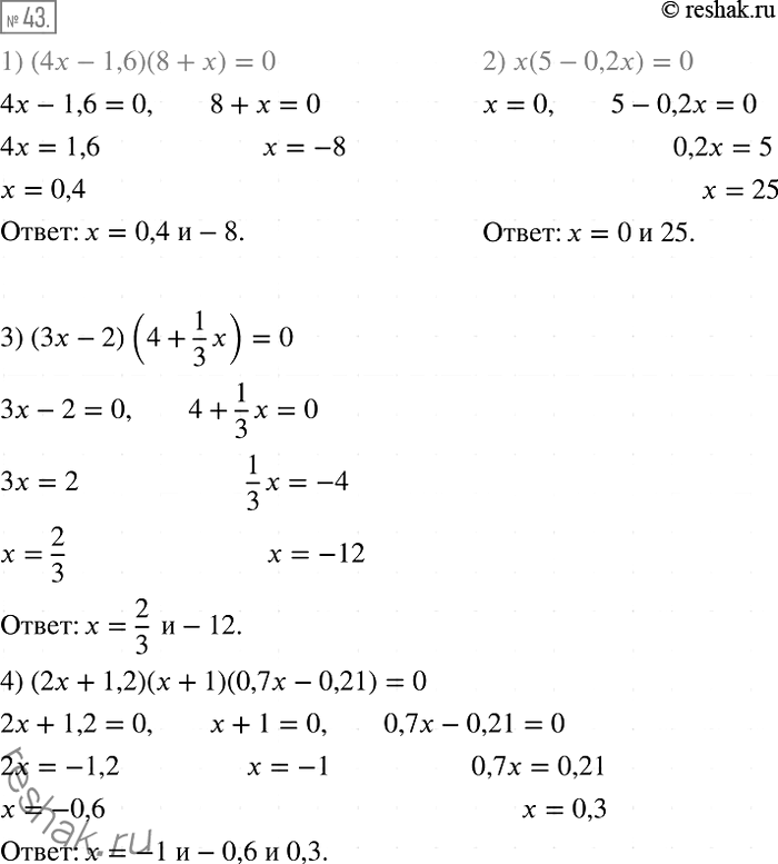
43. Решите уравнение:
1) (4х- 1,6)(8 + х) = 0;
2) х(5 - 0,2х) = 0;
3) (3х-2)(4 + 1/3*х) =0;
4) (2х + 1,2)(х + 1)(0,7х - 0,21) = 0.
*размещая тексты в комментариях ниже, вы автоматически соглашаетесь с пользовательским соглашением