Упр.431 ГДЗ Никольский Потапов 7 класс (Алгебра)
Решение #1

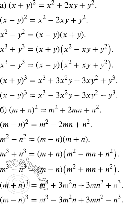
Рассмотрим вариант решения задания из учебника Никольский, Потапов 7 класс, Просвещение:
431. Перепишите формулы сокращённого умножения, используя буквы: а) х и у; б) m и n.
*размещая тексты в комментариях ниже, вы автоматически соглашаетесь с пользовательским соглашением