Упр.433 ГДЗ Мерзляк 9 класс (Алгебра)
Решение #1
Решение #2

Рассмотрим вариант решения задания из учебника Мерзляк, Полонская, Якир 9 класс, Вентана-Граф:
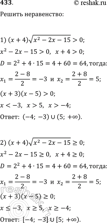
433. Решите неравенство:
1) (х + 4)корень(х^2 - 2х - 15) > 0;
2) (х + 4)корень(x^2 - 2х - 15) >= 0;
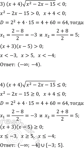
3) (х + 4)корень(x^2 - 2х - 15) < 0;
4) (х + 4)корень(x^2 - 2х - 15) <= 0.
*размещая тексты в комментариях ниже, вы автоматически соглашаетесь с пользовательским соглашением