Упр.434 ГДЗ Колягин Ткачёва 7 класс (Алгебра)
Решение #1

Рассмотрим вариант решения задания из учебника Колягин, Ткачёва, Фёдорова 7 класс, Просвещение:
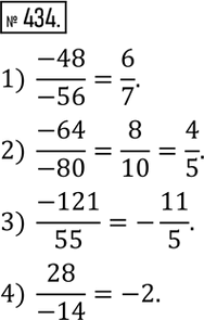
434. Сократить дробь:
1) (-48)/(-56);
2) (-64)/(-80);
3) (-121)/55;
4) 28/(-14).
*размещая тексты в комментариях ниже, вы автоматически соглашаетесь с пользовательским соглашением