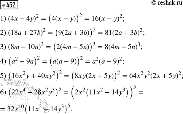
Упр.452 ГДЗ Мерзляк Полонский 7 класс (Алгебра)
Решение #1
Решение #2

Рассмотрим вариант решения задания из учебника Мерзляк, Полонская, Якир 7 класс, Вентана-Граф:
452. Вынесите за скобки общий множитель:
1) (4х - 4y)2 ;
2) (18а + 27b)2;
3) (8m-10n)3;
4) (а2 - 9a)2;
5) (16х2у + 4Оху2)2;
6) (22х4 - 28х2y3)5.
*размещая тексты в комментариях ниже, вы автоматически соглашаетесь с пользовательским соглашением