Упр.454 ГДЗ Дорофеев Суворова 8 класс (Алгебра)
Решение #1

Рассмотрим вариант решения задания из учебника Дорофеев, Суворова, Бунимович 8 класс, Просвещение:
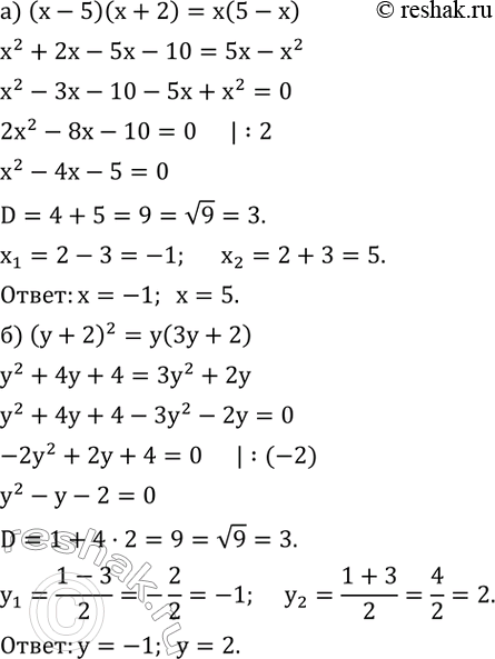
454. Решите уравнение:
а) (x-5)(x+2)=x(5-x);
б) (y+2)^2=y(3y+2);
в) 3(z-2)^2=2z+4;
г) 5-4x=4(x-1)^2.
*размещая тексты в комментариях ниже, вы автоматически соглашаетесь с пользовательским соглашением