Упр.455 ГДЗ Никольский Потапов 7 класс (Алгебра)
Решение #1

Рассмотрим вариант решения задания из учебника Никольский, Потапов 7 класс, Просвещение:
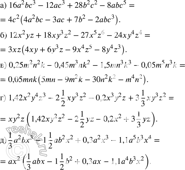
455. Разложите многочлен на множители:
а) 16а2bс3 - 12ас3 + 28b2с2 - 8аbс5;
б) 12x2yz + 18xу3z2 - 27x5z6 - 24xy4z4;
в) 0,25m2n2k - 0,45m3nk2 - 1,5mn3k2 - 0,05m5n3k;
г) 1,42x2y4z3 - 2*1/2*xy3z2 - 0,2x3y2z + 3*1/3*xy3z2;
д) 1/3*a2bx3 - 1*1/2*аb2x2 +0,За2x3 - 1,1а5b3x4.
О Сл
*размещая тексты в комментариях ниже, вы автоматически соглашаетесь с пользовательским соглашением