Упр.458 ГДЗ Колягин Ткачёва 9 класс (Алгебра)
Решение #1

Рассмотрим вариант решения задания из учебника Колягин, Ткачёва, Фёдорова 9 класс, Просвещение:
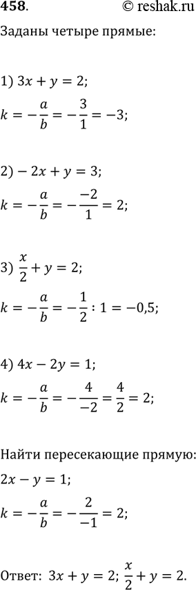
458. Среди прямых, заданных уравнениями
3x+y=2, -2x+y=3, x/2+y=2, 4x-2y=1,
указать те, которые пересекают прямую 2x-y=1.
*размещая тексты в комментариях ниже, вы автоматически соглашаетесь с пользовательским соглашением