Упр.46 ГДЗ Колягин Ткачёва 9 класс (Алгебра)
Решение #1

Рассмотрим вариант решения задания из учебника Колягин, Ткачёва, Фёдорова 9 класс, Просвещение:
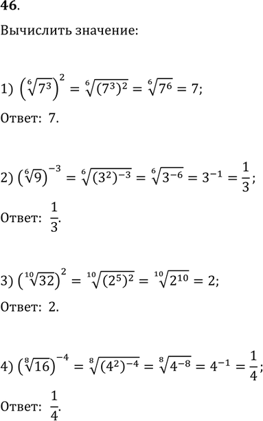
46. Вычислить:
1) ((7^3)^(1/6))^2; 2) (9^(1/6))^(-3);
3) (32^(1/10))^2; 4) (16^(1/8))^(-4).
*размещая тексты в комментариях ниже, вы автоматически соглашаетесь с пользовательским соглашением