Упр.464 ГДЗ Мерзляк Полонский 7 класс (Алгебра)
Решение #1
Решение #2

Рассмотрим вариант решения задания из учебника Мерзляк, Полонская, Якир 7 класс, Вентана-Граф:
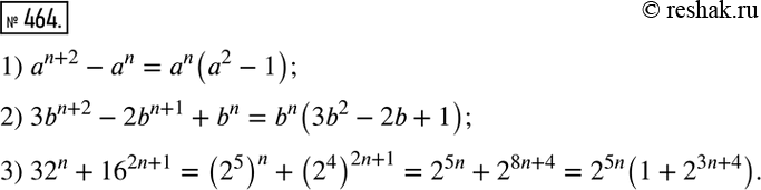
464. Разложите на множители (n — натуральное число):
1) а^(n+2) - аn;
2) 3b^(n+2) - 2b^(n+1) + bn;
3) 32n + 16^(2n+1).
*размещая тексты в комментариях ниже, вы автоматически соглашаетесь с пользовательским соглашением