Упр.489 Рабочая тетрадь №3 ГДЗ Мерзляк Полонский 6 класс (Математика)
Решение #1

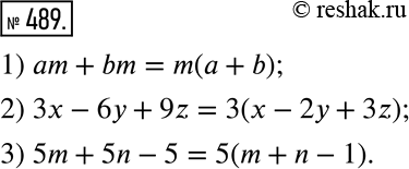
Рассмотрим вариант решения задания из учебника Мерзляк, Полонский, Якир 6 класс, Вентана-Граф:
489. Вынесите за скобки общий множитель.
1) am + bm;
2) 3x - 6y + 9z;
3) 5m + 5n - 5.
*размещая тексты в комментариях ниже, вы автоматически соглашаетесь с пользовательским соглашением