Упр.490 ГДЗ Муравин 6 класс (Математика)
Решение #1

Рассмотрим вариант решения задания из учебника Муравин, Муравина 6 класс, Дрофа:
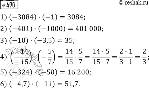
490. Найдите произведение двух отрицательных чисел:
1) (-3084)•(-1);
2) (-401)•(-1000);
3) (-10)•(-3,5);
4) (-14/15)•(-5/7);
5) (-324)•(-50);
6) (-4,7)•(-11).
*размещая тексты в комментариях ниже, вы автоматически соглашаетесь с пользовательским соглашением