Упр.493 ГДЗ Никольский Потапов 9 класс (Алгебра)

Решение #1

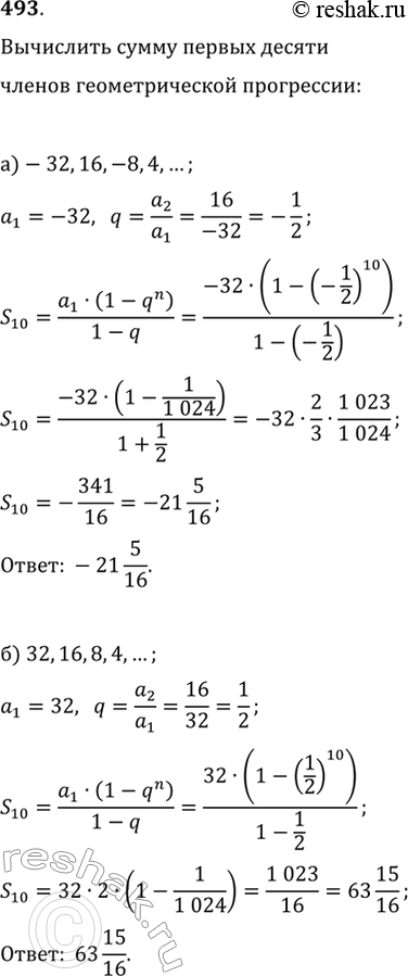
Изображение 493. Вычислите сумму первых десяти членов геометрической прогрессии:а) -32, 16, -8, 4,	б) 32, 16, 8, 4,...

Решение #2

Изображение 493. Вычислите сумму первых десяти членов геометрической прогрессии:а) -32, 16, -8, 4,	б) 32, 16, 8, 4,...

Рассмотрим вариант решения задания из учебника Никольский, Потапов 9 класс, Просвещение:
493. Вычислите сумму первых десяти членов геометрической прогрессии:
а) -32, 16, -8, 4, б) 32, 16, 8, 4, ....
*Цитирирование задания со ссылкой на учебник производится исключительно в учебных целях для лучшего понимания разбора решения задания.
*размещая тексты в комментариях ниже, вы автоматически соглашаетесь с пользовательским соглашением