Упр.496 ГДЗ Колягин Ткачёва 7 класс (Алгебра)
Решение #1

Рассмотрим вариант решения задания из учебника Колягин, Ткачёва, Фёдорова 7 класс, Просвещение:
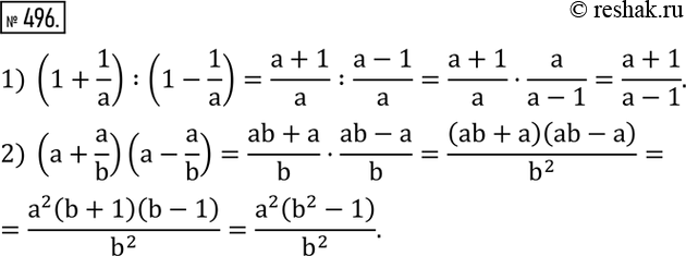
496. Выполнить действия:
1) (1+1/a) :(1-1/a);
2) (a+a/b)(a-a/b);
*размещая тексты в комментариях ниже, вы автоматически соглашаетесь с пользовательским соглашением