Упр.498 ГДЗ Мерзляк 8 класс (Алгебра)
Решение #1
Решение #2
Решение #3

Рассмотрим вариант решения задания из учебника Мерзляк, Полонская, Якир 8 класс, Вентана-Граф:
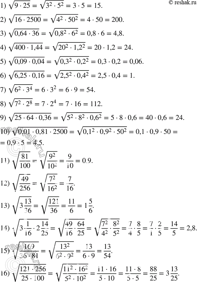
498. Вычислите значение выражения:
1) корень 9*25;
2) корень 16*2500;
3) корень 0,64*36;
4) корень 400*1,44;
5) корень 0,09*0,04;
6) корень 6,25*0,16;
*размещая тексты в комментариях ниже, вы автоматически соглашаетесь с пользовательским соглашением