Упр.502 ГДЗ Мерзляк Полонский 7 класс (Алгебра)
Решение #1
Решение #2

Рассмотрим вариант решения задания из учебника Мерзляк, Полонская, Якир 7 класс, Вентана-Граф:
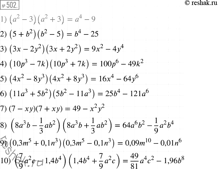
502 Выполните умножение:
1) (а2 -3)(a2 +3);
2) (5 + b2)(b2-5);
3) (3х-2у2)(3х + 2у2);
4) (10р3 -7k)(10p3 +7k);
5) (4х2 - 8р3) (4x2 + 8р3);
6) (11a3 + 5b2)(5b2 -11а3);
7) (7 - ху)(7 + ху);
8) (8a3b-1/3*ab2)(8a3b+1/3*ab2);
9) (0,3m5+0,1n3)(0,3m5-0,1n3);
10) (7/9*a2c-1,4b4)(1,4b4+7/9*a2c).
*размещая тексты в комментариях ниже, вы автоматически соглашаетесь с пользовательским соглашением