Упр.502 Рабочая тетрадь №3 ГДЗ Мерзляк Полонский 6 класс (Математика)
Решение #1

Рассмотрим вариант решения задания из учебника Мерзляк, Полонский, Якир 6 класс, Вентана-Граф:
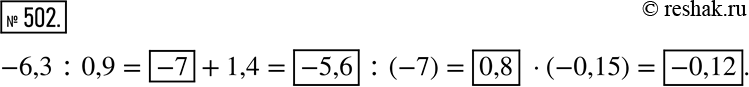
502. Заполните цепочку вычислений.
*размещая тексты в комментариях ниже, вы автоматически соглашаетесь с пользовательским соглашением