Упр.51 ГДЗ Колягин Ткачёва 9 класс (Алгебра)
Решение #1

Рассмотрим вариант решения задания из учебника Колягин, Ткачёва, Фёдорова 9 класс, Просвещение:
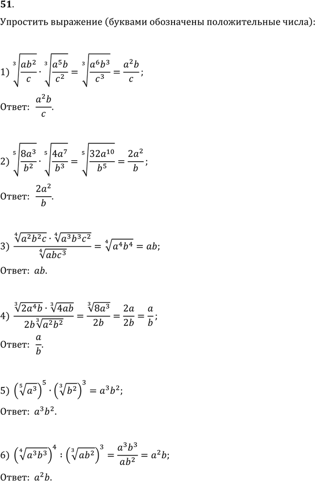
51. Упростить выражение:
1) (ab^2/c)^(1/3)·(a^5 b/c^2)^(1/3);
2) (8a^3/b^2)^(1/5)·(4a^7/b^3)^(1/5);
3) ((a^2 b^2 c)^(1/4)·(a^3 b^3 c^2)^(1/4))/(abc^3)^(1/4);
4) ((2a^4 b)^(1/3)·(4ab)^(1/3))/(2b(a^2 b^2)^(1/3));
5) ((a^3)^(1/5))^5·((b^2)^(1/3))^3;
6) ((a^3 b^3)^(1/4))^4:((ab^2)^(1/3))^3.
*размещая тексты в комментариях ниже, вы автоматически соглашаетесь с пользовательским соглашением