Упр.51 ГДЗ Мерзляк 8 класс (Алгебра)
Решение #1
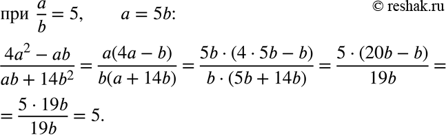
Решение #2
Решение #3

Рассмотрим вариант решения задания из учебника Мерзляк, Полонская, Якир 8 класс, Вентана-Граф:
51. Найдите значение выражения (4a2-ab)/(ab+14b2), если a/b =5.
*размещая тексты в комментариях ниже, вы автоматически соглашаетесь с пользовательским соглашением