Упр.513 ГДЗ Дорофеев Суворова 9 класс (Алгебра)
Решение #1

Рассмотрим вариант решения задания из учебника Дорофеев, Суворова, Бунимович 9 класс, Просвещение:
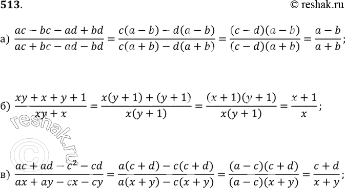
513.
а) (ac - bc - ad - bd)/(ac + bc - ad - bd);
б) (xy + 1 + x + y)/(xy + x);
в) (ac + ad - c^2 - cd)/(ax + ay - cx - cy).
*размещая тексты в комментариях ниже, вы автоматически соглашаетесь с пользовательским соглашением