Упр.518 ГДЗ Дорофеев Суворова 9 класс (Алгебра)
Решение #1

Рассмотрим вариант решения задания из учебника Дорофеев, Суворова, Бунимович 9 класс, Просвещение:
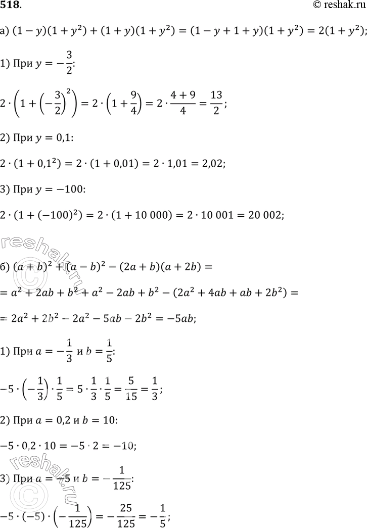
518. Найдите значение выражения:
а) (1 - y)(1 + y^2) + (1 + y)(1 + y^2) при y = -3/2; 0,1; -100;
б) (a + b)^2 + (a - b)^2 - (2a + b)(a + 2b) при a = -1/3 и b = 1/5; a = 0,2 и b = 10; a = -5 и b = - 1/125.
*размещая тексты в комментариях ниже, вы автоматически соглашаетесь с пользовательским соглашением