Упр.521 ГДЗ Никольский Потапов 7 класс (Алгебра)
Решение #1

Рассмотрим вариант решения задания из учебника Никольский, Потапов 7 класс, Просвещение:
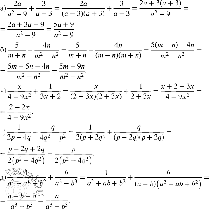
521 а) 2a/(a2-9) + 3/(a-3);
б) 5/(m+n) - 4n/(m2-n2);
в) x/(4-9x2) + 1/(3x+2);
г) 1/(2p+4q) - q/(4q2-p2);
д) 1/(a2+ab+b2) + b/(a3-b3);
е) (m2+n2)/(m3+n3) - 1/2(m+n);
ж) (x2-2xy)/(x-2y)3 + 1/(2y-x);
з) 2(p+q)/(p3-q3) + 3/(q2-p2).
*размещая тексты в комментариях ниже, вы автоматически соглашаетесь с пользовательским соглашением