Упр.523 ГДЗ Мерзляк Полонский 7 класс (Алгебра)
Решение #1
Решение #2

Рассмотрим вариант решения задания из учебника Мерзляк, Полонская, Якир 7 класс, Вентана-Граф:
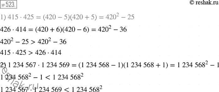
523. Сравните значения выражений, не вычисляя их:
1) 415 * 425 и 426 * 414;
2) 1 234 567 * 1 234 569 и 1 234 568^2.
*размещая тексты в комментариях ниже, вы автоматически соглашаетесь с пользовательским соглашением