Упр.53 ГДЗ Колягин Ткачёва 8 класс (Алгебра)
Решение #1

Рассмотрим вариант решения задания из учебника Колягин, Ткачёва, Фёдорова 8 класс, Просвещение:
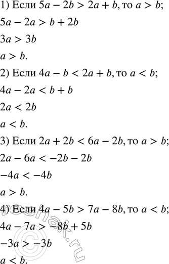
53. Доказать, что:
1) если 5a-2b>2a+b, то a>b;
2) если 4a-b<2a+b, то a
3) если 2a+2b<6a-2b, то a>b;
4) если 4a-5b>7a-8b, то a
*размещая тексты в комментариях ниже, вы автоматически соглашаетесь с пользовательским соглашением