Упр.533 ГДЗ Дорофеев Суворова 8 класс (Алгебра)
Решение #1

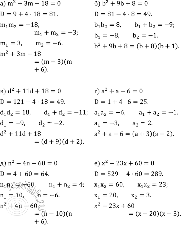
Рассмотрим вариант решения задания из учебника Дорофеев, Суворова, Бунимович 8 класс, Просвещение:
533. Разложите на множители:
а) m^2+3m-18;
б) b^2+9b+8;
в) d^2+11d+18;
г) a^2+a-6;
д) n^2-4n-60;
е) x^2-23x+60.
*размещая тексты в комментариях ниже, вы автоматически соглашаетесь с пользовательским соглашением