Упр.537 ГДЗ Колягин Ткачёва 9 класс (Алгебра)
Решение #1

Рассмотрим вариант решения задания из учебника Колягин, Ткачёва, Фёдорова 9 класс, Просвещение:
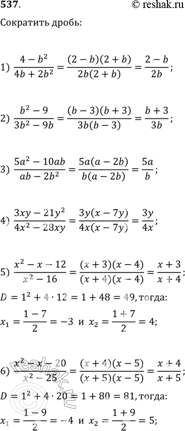
537. Сократить дробь:
1) (4-b^2)/(4b+2b^2); 2) (b^2-9)/(3b^2-9b); 3) (5a^2-10ab)/(ab-2b^2);
4) (3xy-21y^2)/(4x^2-28xy); 5) (x^2-x-12)/(x^2-16); 6) (x^3-x-20)/(x62-25);
7) (3x^2-2x-8)/(2x^2-3x-2); 8) (2x^2+x-3)/(2x^2+7x+6).
*размещая тексты в комментариях ниже, вы автоматически соглашаетесь с пользовательским соглашением