Упр.540 ГДЗ Дорофеев Суворова 7 класс (Алгебра)
Решение #1

Рассмотрим вариант решения задания из учебника Дорофеев, Суворова, Бунимович 10-11 класс, Просвещение:
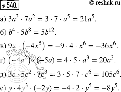
540 Упростите произведение:
а) 3а3 * 7а2;
б) b4 * 5b8;
в) 9х * (-4х5);
г) (-4а2) * (-5а);
д) Зс * 5с2 * 7с3;
е) у * 4у3 (-2у).
*размещая тексты в комментариях ниже, вы автоматически соглашаетесь с пользовательским соглашением