Упр.543 ГДЗ Никольский Потапов 8 класс (Алгебра)
Решение #1

Рассмотрим вариант решения задания из учебника Никольский, Потапов 8 класс, Просвещение:
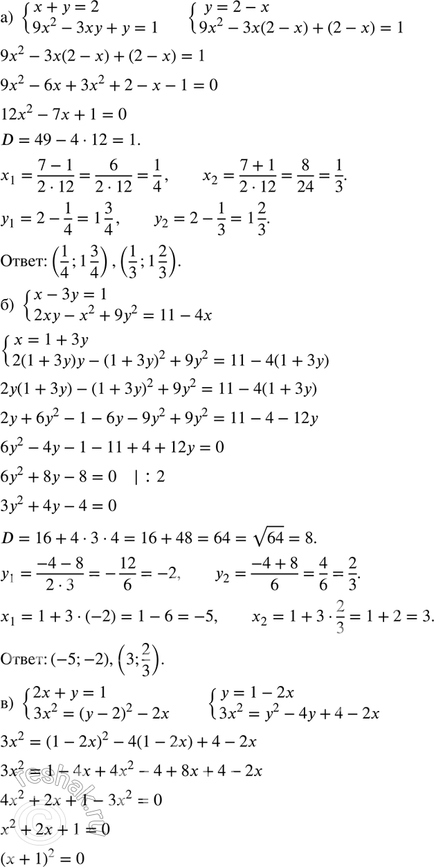
543 а) система
x+y=2,
9x2-3xy+y=1;
б) система
x-3y=1,
2xy-x2+9y2=11-4x;
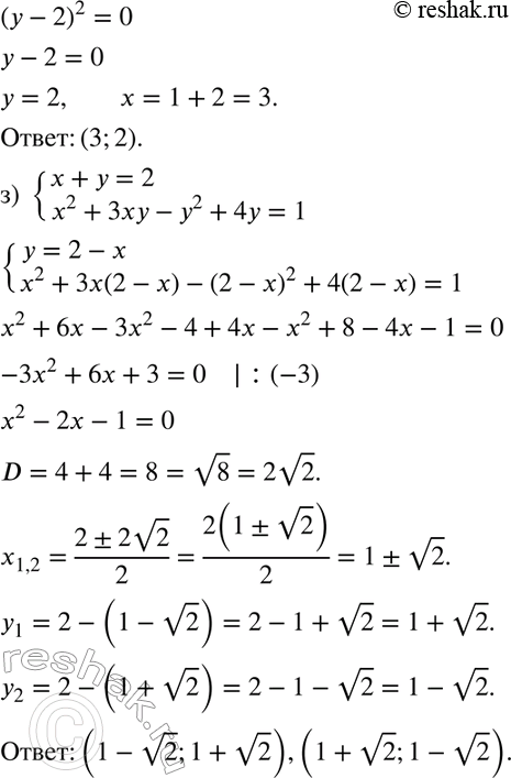
в) система
2x+y=1,
3x2=(y-2)2-2x;
г) система
x-4y=10,
(x-1)2=7(x+y)+1;
д) система
7x-y=3,
14xy-5y2-7x+9=8y;
е) система
x-y=2,
3x2-5yx+8y2-3x+4y=15;
ж) система
x-y=1,
x2-2xy+4y=5;
з) система
x+y=2,
x2+3xy-y2+4y=1.
*размещая тексты в комментариях ниже, вы автоматически соглашаетесь с пользовательским соглашением