Упр.546 ГДЗ Мерзляк 8 класс (Алгебра)
Решение #1
Решение #2
Решение #3

Рассмотрим вариант решения задания из учебника Мерзляк, Полонская, Якир 8 класс, Вентана-Граф:
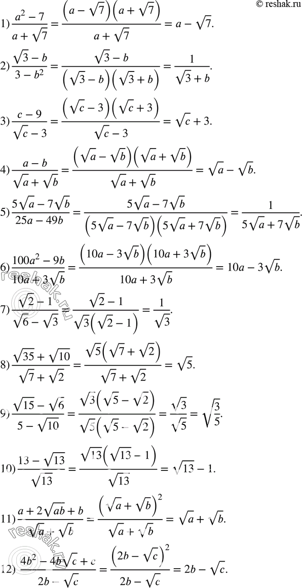
546. Сократите дробь:
1) (a2 - 7)/(a + корень 7);
2) (корень 3 - b)/(3 - b2);
3) (c - 9)/(корень c - 3);
4) (a - b)/(корень a + корень b);
*размещая тексты в комментариях ниже, вы автоматически соглашаетесь с пользовательским соглашением