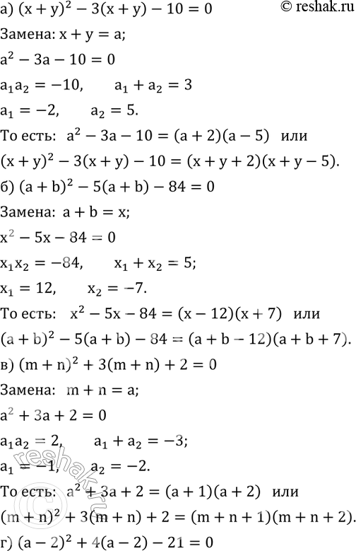
Упр.547 ГДЗ Дорофеев Суворова 8 класс (Алгебра)
Решение #1

Рассмотрим вариант решения задания из учебника Дорофеев, Суворова, Бунимович 8 класс, Просвещение:
547. Разложите на множители:
а) (x+y)^2-3(x+y)-10;
б) (a+b)^2-5(a+b)-84;
в) (m+n)^2+3(m+n)+2;
г) (a-2)^2+4(a-2)-21;
д) (3-y)^2-2(3-y)-35;
е) (1-x)^2-6(1-x)+8.
*размещая тексты в комментариях ниже, вы автоматически соглашаетесь с пользовательским соглашением