Упр.554 ГДЗ Колягин Ткачёва 9 класс (Алгебра)
Решение #1

Рассмотрим вариант решения задания из учебника Колягин, Ткачёва, Фёдорова 9 класс, Просвещение:
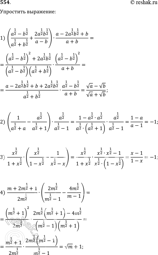
554. Упростить выражение:
1) ((a^(1/2)-b^(1/2))/(a^(1/2)+b^(1/2)+(2a^(1/2) b^(1/2))/(a-b))·(a-2a^(1/2) b^(1/2)+b)/(a+b);
2) (1/(a^(1/2)+a)-a^(1/2)/(a^(1/2)+1))·a^(1/2)/(a^(1/2)-1);
3) x^(1/2)/(1+x^(1/2))·(x^(1/2)/(1-x^(1/2))-1/(x^(1/2)-x));
4) (m+2m^(1/2)+1)/(2m^(1/2))·(2m^(1/2)/(m^(1/2)-1)-4m^(1/2)/(m-1)).
*размещая тексты в комментариях ниже, вы автоматически соглашаетесь с пользовательским соглашением