Упр.561 ГДЗ Дорофеев Суворова 7 класс (Алгебра)
Решение #1

Рассмотрим вариант решения задания из учебника Дорофеев, Суворова, Бунимович 10-11 класс, Просвещение:
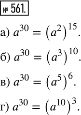
561 Представьте a30 а в виде степени с основанием:
а) а2;
б) а3;
в) а5;
г) а10.
*размещая тексты в комментариях ниже, вы автоматически соглашаетесь с пользовательским соглашением