Упр.563 ГДЗ Никольский Потапов 9 класс (Алгебра)

Решение #1

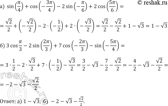
Изображение 563.а)  sin (пи/4)+cos(-3пи/4)-2 sin(-пи/6)+2cos(5пи/6)б) 3 cos пи/3-2...

Решение #2

Изображение 563.а)  sin (пи/4)+cos(-3пи/4)-2 sin(-пи/6)+2cos(5пи/6)б) 3 cos пи/3-2...

Рассмотрим вариант решения задания из учебника Никольский, Потапов 9 класс, Просвещение:
563.
а) sin (пи/4)+cos(-3пи/4)-2 sin(-пи/6)+2cos(5пи/6)
б) 3 cos пи/3-2 sin(2пи/3)+7cos(-2пи/3)-sin(-5пи/4)
*Цитирирование задания со ссылкой на учебник производится исключительно в учебных целях для лучшего понимания разбора решения задания.
*размещая тексты в комментариях ниже, вы автоматически соглашаетесь с пользовательским соглашением