Упр.569 ГДЗ Мерзляк Полонский 7 класс (Алгебра)
Решение #1
Решение #2

Рассмотрим вариант решения задания из учебника Мерзляк, Полонская, Якир 7 класс, Вентана-Граф:
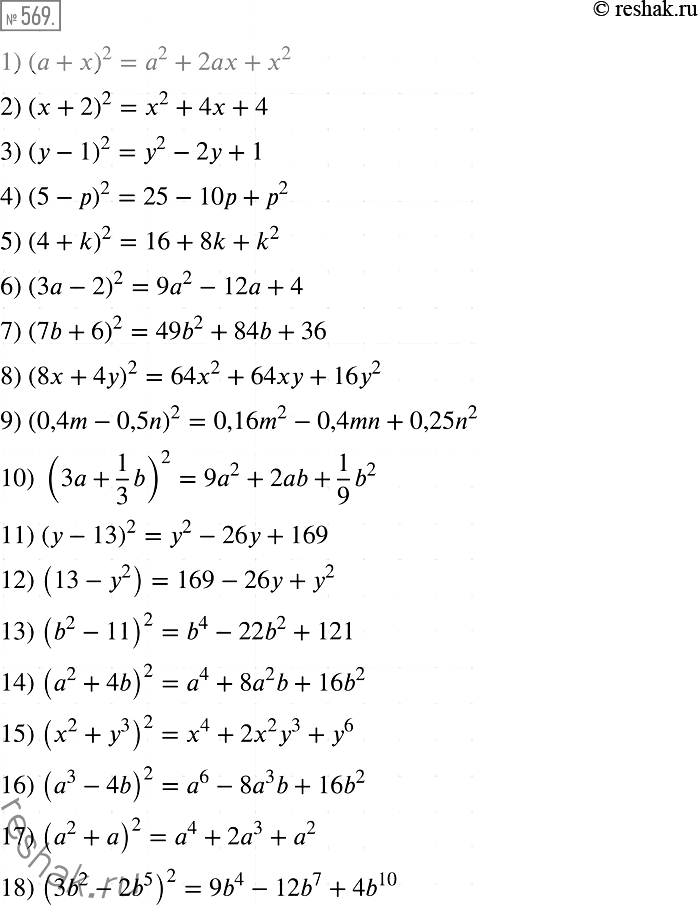
569 Представьте в виде многочлена выражение:
1) (а + х) ;
2) (х + 2) ;
3) (у - 1)2;
4) (5-p)2;
5) (4 + k)2;
6) (3а - 2)2;
7) (7b + 6)2;
8) (8х + 4y)2;
9) (0,4m - 0,5n)2;
10)(3а + 1/3*b)2
11) (у — 13)2;
12) (13 -y)2;
13) (b2-11)2;
14) (а2 + 4b)2;
15) (х2 +у3);
16) (а3 - 4b)2;
17) (а2 + а)2;
18) (3b2 -2b5)2.
*размещая тексты в комментариях ниже, вы автоматически соглашаетесь с пользовательским соглашением