Упр.57 ГДЗ Колягин Ткачёва 10 класс (Алгебра)
Решение #1
Решение #2

Рассмотрим вариант решения задания из учебника Колягин, Ткачёва, Фёдорова 10 класс, Просвещение:
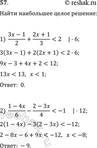
Найти наибольшее целое число, удовлетворяющее неравенству:
1) (3x-1)/2 + (2x+1)/3<2;
2) (1-4x)/6 - (2-3x)/4<-1.
*размещая тексты в комментариях ниже, вы автоматически соглашаетесь с пользовательским соглашением