Упр.576 ГДЗ Никольский Потапов 8 класс (Алгебра)
Решение #1

Рассмотрим вариант решения задания из учебника Никольский, Потапов 8 класс, Просвещение:
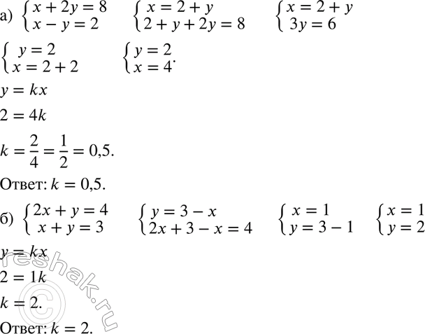
576 Определите k, если прямая у = kx проходит через точку, координаты которой являются решением системы уравнений:
а) система
x+2y=8,
x-y=2;
б) система
2x+y=4,
x+y=3.
*размещая тексты в комментариях ниже, вы автоматически соглашаетесь с пользовательским соглашением