Упр.577 ГДЗ Никольский Потапов 7 класс (Алгебра)
Решение #1

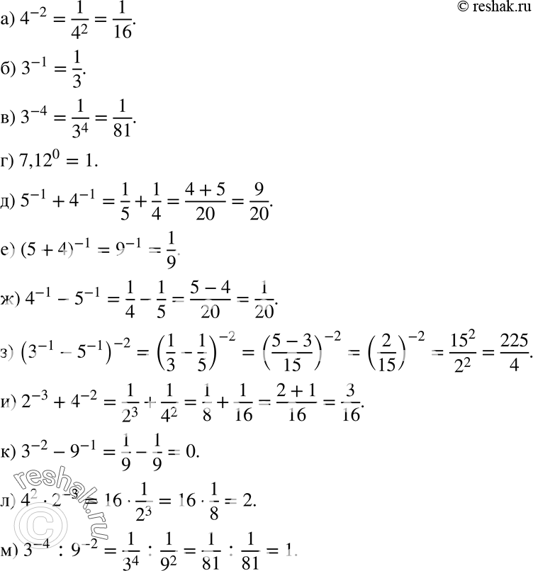
Рассмотрим вариант решения задания из учебника Никольский, Потапов 7 класс, Просвещение:
577 а) 4^-2;
б) 3^-1;
в) 3^-4;
г) 7,12^0;
д) 5^-1 + 4^-1;
е) (5+4)^-1;
ж) 4^-1 - 5^-1;
з) (3^-1-5^-1)^-2;
и) 2^-3 + 4^-2;
к) 3^-2 - 9^-1;
л) 4^2 * 2^-3;
м) 3^-4 :9^-2.
*размещая тексты в комментариях ниже, вы автоматически соглашаетесь с пользовательским соглашением