Упр.578 ГДЗ Никольский Потапов 6 класс (Математика)
Решение #1

Рассмотрим вариант решения задания из учебника Никольский, Потапов, Решетников 6 класс, Просвещение:
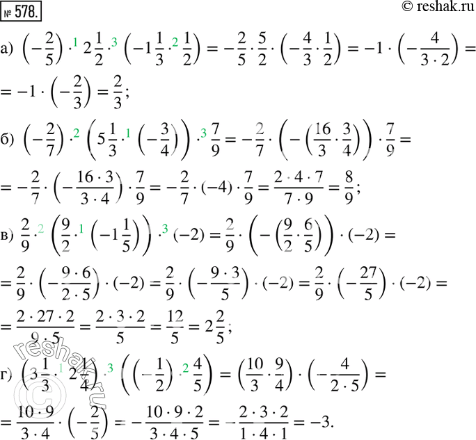
578. Вычислите, предварительно указав порядок действий:
а) (-2/5)•2 1/2•(-1 1/3•1/2);
б) (-2/7)•(5 1/3•(-3/4))•7/9;
в) 2/9•(9/2•(-1 1/5))•(-2);
г) (3 1/3•2 1/4)•((-1/2)•4/5).
*размещая тексты в комментариях ниже, вы автоматически соглашаетесь с пользовательским соглашением