Упр.585 ГДЗ Колягин Ткачёва 8 класс (Алгебра)
Решение #1

Рассмотрим вариант решения задания из учебника Колягин, Ткачёва, Фёдорова 8 класс, Просвещение:
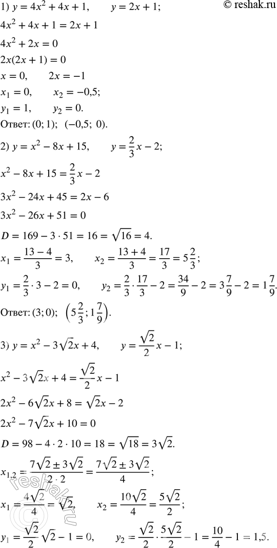
585. Найти координаты точек пересечения графиков функций:
1) y=4x^2+4x+1,y=2x+1;
2) y=x^2-8x+15,y=2/3 x-2;
3) y=x^2-3v2 x+4,y=v2/2 x-1;
4) y=v3 x^2+3x,y=v3/3 x+1.
*размещая тексты в комментариях ниже, вы автоматически соглашаетесь с пользовательским соглашением