Упр.589 ГДЗ Никольский Потапов 7 класс (Алгебра)
Решение #1

Рассмотрим вариант решения задания из учебника Никольский, Потапов 7 класс, Просвещение:
Запишите в виде степени с целым показателем, если а =/ 0 (589—593):
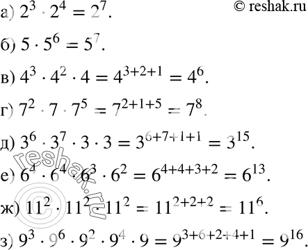
589 а) 2^3*2^4;
б) 5*5^6;
в) 4^3*4^2*4;
г) 7^2*7*7^5;
д) 3^6*3^7*3*3;
е) 6^4*6^4*6^3*6^2;
ж) 11^2 * 11^2 * 11^2;
з) 9^3*9^6*9^2*9^4*9.
*размещая тексты в комментариях ниже, вы автоматически соглашаетесь с пользовательским соглашением