Упр.596 ГДЗ Никольский Потапов 7 класс (Алгебра)
Решение #1

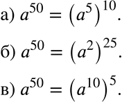
Рассмотрим вариант решения задания из учебника Никольский, Потапов 7 класс, Просвещение:
596. Представьте а50 в виде степени с основанием:
а) а5;
б) а2;
в) а10.
*размещая тексты в комментариях ниже, вы автоматически соглашаетесь с пользовательским соглашением