Упр.599 ГДЗ Мерзляк Полонский 7 класс (Алгебра)
Решение #1
Решение #2

Рассмотрим вариант решения задания из учебника Мерзляк, Полонская, Якир 7 класс, Вентана-Граф:
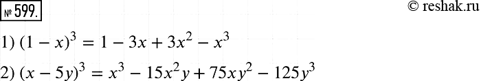
599. Выведите формулу куба разности:
(а - b)3 = a3 - 3а2b + 3аb - b3.
Пользуясь этой формулой, преобразуйте в многочлен выражение:
1) (1-х)3;
2) (х-5y)3.
*размещая тексты в комментариях ниже, вы автоматически соглашаетесь с пользовательским соглашением