Упр.6.19 ГДЗ Мордкович Семенов 11 класс (Алгебра)
Решение #1

Рассмотрим вариант решения задания из учебника Мордкович, Семенов, Александрова 11 класс, Просвещение:
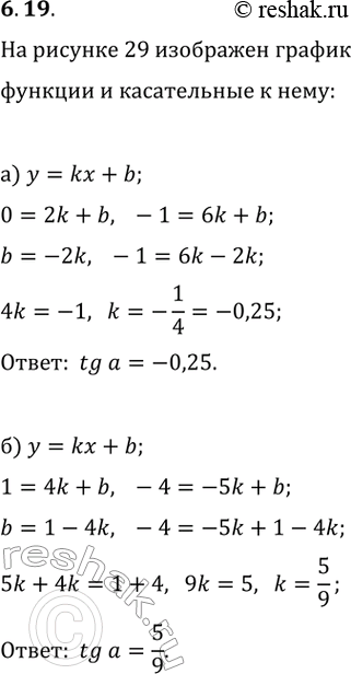
6.19. На рисунке 29, а, б изображены график функции y=f(x) и касательная к нему в точке x_0. Найдите тангенс угла наклона касательной.
*размещая тексты в комментариях ниже, вы автоматически соглашаетесь с пользовательским соглашением