Упр.600 ГДЗ Никольский Потапов 8 класс (Алгебра)
Решение #1

Рассмотрим вариант решения задания из учебника Никольский, Потапов 8 класс, Просвещение:
Решите уравнение в целых числах (600—601):
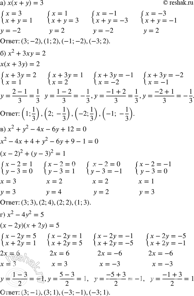
600. а) х(х + у) = 3;
б) х2 + 3ху = 2;
в) х2 + у2 - 4х - 6у + 12 = 0;
г) х2 - 4у2 = 5;
д) х2 - 4xy + 3у2 = -1;
е) х2 + у2 - 10х + 2у + 22 = 0;
ж) 3х2 + 5xy - 2у2 = 5;
з) 2х2 - 3ху - 2у2 = 7.
*размещая тексты в комментариях ниже, вы автоматически соглашаетесь с пользовательским соглашением