Упр.61 ГДЗ Мерзляк 9 класс (Алгебра)
Решение #1
Решение #2
Решение #3

Рассмотрим вариант решения задания из учебника Мерзляк, Полонская, Якир 9 класс, Вентана-Граф:
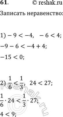
61. Запишите неравенство, которое получим, если:
1) сложим почленно неравенства -9 < -4 и -6 < 4;
2) умножим почленно неравенства 1/6 < 1/3 и 24 < 27.
*размещая тексты в комментариях ниже, вы автоматически соглашаетесь с пользовательским соглашением