Упр.619 ГДЗ Дорофеев Суворова 7 класс (Алгебра)
Решение #1

Рассмотрим вариант решения задания из учебника Дорофеев, Суворова, Бунимович 10-11 класс, Просвещение:
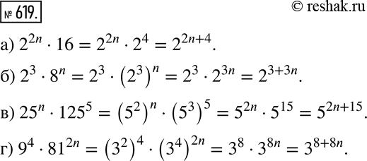
619 Упростите выражение:
а) 2^2n * 16;
б) 2^3 * 8n;
в)25n * 125^5;
г)9^4 * 81^2n.
*размещая тексты в комментариях ниже, вы автоматически соглашаетесь с пользовательским соглашением