Упр.619 ГДЗ Мерзляк 8 класс (Алгебра)
Решение #1
Решение #2
Решение #3

Рассмотрим вариант решения задания из учебника Мерзляк, Полонская, Якир 8 класс, Вентана-Граф:
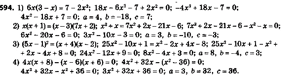
619. Представьте данное уравнение в виде ах2 + bх + с = 0, укажите значения коэффициентов а, b и с:
1) 6x(3 - х) = 7 - 2x2;
2) x(x + 1) = (x - 3)(7x + 2);
3) (5x - 1)2 = (х + 4)(x - 2);
4) 4x(х + 8) - (x - 6)(x + 6) = 0.
*размещая тексты в комментариях ниже, вы автоматически соглашаетесь с пользовательским соглашением