Упр.626 ГДЗ Мерзляк Полонский 7 класс (Алгебра)
Решение #1
Решение #2

Рассмотрим вариант решения задания из учебника Мерзляк, Полонская, Якир 7 класс, Вентана-Граф:
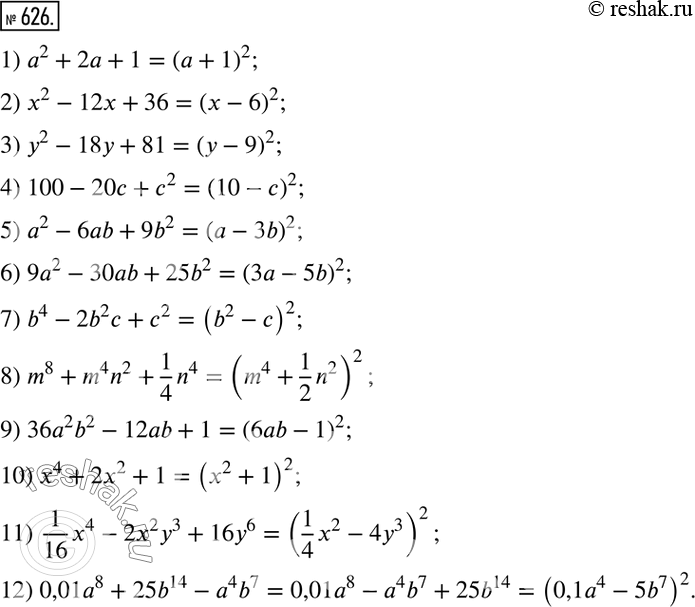
626. Представьте многочлен в виде квадрата суммы или квадрата разности двух выражений:
1) а2 + 2a + 1;
2) х2 - 12х + 36;
3) у2 -18y + 81;
4) 100 - 20с + с2;
5) a2-6ab + 9b2;
6) 9a2 - 30ab + 25b2;
7) b4 -2b2с + с2;
8) m8 + m4n2 + 1/4*n4;
9) 36а2b2 -12ab + 1;
10) х4 + 2x2 + 1;
11) 1/16^х4 -2х2у3 + 16y6;
12) 0,01а8 + 25b14 - а4b7.
*размещая тексты в комментариях ниже, вы автоматически соглашаетесь с пользовательским соглашением