Упр.628 ГДЗ Никольский Потапов 9 класс (Алгебра)

Решение #1

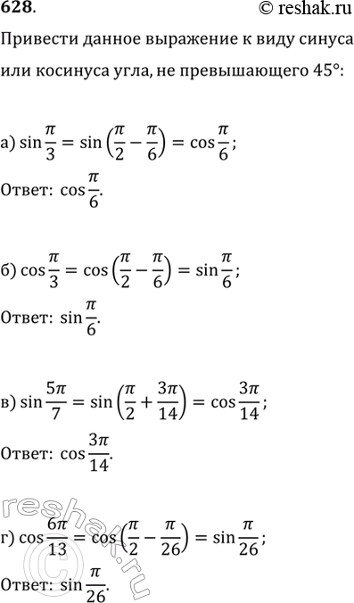
Изображение 628. Приведите числовое выражение к виду синуса или косинуса положительного угла, не превышающегоа)sin пи/3б)cos пи/3в)sin 5пи/7г)cos...

Решение #2

Изображение 628. Приведите числовое выражение к виду синуса или косинуса положительного угла, не превышающегоа)sin пи/3б)cos пи/3в)sin 5пи/7г)cos...

Рассмотрим вариант решения задания из учебника Никольский, Потапов 9 класс, Просвещение:
628. Приведите числовое выражение к виду синуса или косинуса положительного угла, не превышающего
а)sin пи/3
б)cos пи/3
в)sin 5пи/7
г)cos 6пи/13
*Цитирирование задания со ссылкой на учебник производится исключительно в учебных целях для лучшего понимания разбора решения задания.
*размещая тексты в комментариях ниже, вы автоматически соглашаетесь с пользовательским соглашением