Упр.63 ГДЗ Никольский Потапов 9 класс (Алгебра)

Решение #1

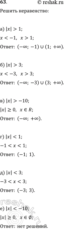
Изображение Решите неравенство (63—68):63.а) |x|>1б) |x|>3в) |x|>-10г)...

Решение #2

Изображение Решите неравенство (63—68):63.а) |x|>1б) |x|>3в) |x|>-10г)...
Дополнительное изображение

Рассмотрим вариант решения задания из учебника Никольский, Потапов 9 класс, Просвещение:
Решите неравенство (63—68):
63.
а) |x|>1
б) |x|>3
в) |x|>-10
г) |x|<1
д) |x|<3
е) |x|<-10
*Цитирирование задания со ссылкой на учебник производится исключительно в учебных целях для лучшего понимания разбора решения задания.
*размещая тексты в комментариях ниже, вы автоматически соглашаетесь с пользовательским соглашением